《应用物理学杂志》报道我校二维铁电材料研究新进展

近日,国际知名期刊《应用物理学杂志》(Journal of Applied Physics)以“Ferroelectric domain wall in two-dimensional GeS”报道了学院闫亚宾特聘教授及其团队关于原子单层GeS中的铁电性和铁电畴结构方面的研究进展,并入选主编精选(Editor's pick)。

铁电材料由于其可控的电极化和优越的机电功能,已被广泛用于传感器等新型纳米级电子器件中。传统的铁电材料主要有钛酸铅、钛酸钡等。铁电材料的小型化和集成化一直是研究人员追求的目标。然而,对于传统铁电材料,当材料特征尺寸过小时,铁电极化会消失,极大限制了铁电材料的应用。该研究发现,对于某些IV族金属硫属化合物,如GeS等,即使在原子单层中也会存在铁电性。这一研究为新型铁电传感器设计提供了新思路。

 

图1. 二维GeS的原子结构以及180°和90°畴壁结构图


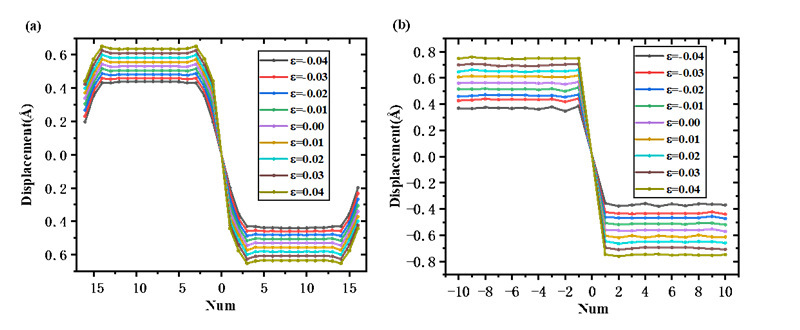
铁电材料的铁电性来自于微观铁电极化,在宏观上表现为铁电畴的形式。对于二维GeS,主要存在180°和90°铁电畴。研究发现,90°铁电畴由于其能量更低,更容易出现。同时,相较于传统材料,二维GeS铁电材料具有更好的应变调控特性。拉伸应变会使其极化畸变显著增大,而压缩应变则会导致极化减小,从而为传感器的性能调控奠定了理论基础。

 

图2. 铁电极化的应变调控行为


该研究工作的第一作者为闫亚宾特聘教授,硕士研究生向名芝为第二作者,通讯作者为轩福贞教授和中国科学院宁波材料所徐涛副教授。该成果得到了国家自然科学基金项目、上海市东方学者特聘教授人才项目、上海市自然科学基金面上项目等的支持。

文章链接:https://aip.scitation.org/doi/10.1063/5.0094689


网页发布时间: 2022-12-08